
오늘은 피타고라스의 정리의 여러 가지 증명법을 알아보도록 하겠습니다.
(중학교 2~3학년 수준의 수학을 알고 계시다면 이해하는 데는 큰 무리가 없을 거라 생각합니다)
피타고라스의 정리는 여러가지 공식을 유도하는 데에도 사용됩니다.
피타고라스 정리를 이용하여 증명할 수 있는 공식도 나중에 포스팅할 예정입니다.
그럼 먼저 피타고라스의 정리 공식 내용부터 알아보도록 하겠습니다.
1) 공식
피타고라스 정리의 내용은 다음과 같습니다.


빗변의 제곱은 두변의 제곱의 합과 같다.
2) 증명
피타고라스의 정리는 알려진 증명 방법만 400가지가 넘습니다. 오늘은 그중 3가지 방법에 대해 알아보도록 하겠습니다.
-1. 직각삼각형의 닮음을 이용한 증명(1)


삼각형 ABC와 삼각형 ACH가 닮음이므로

내항의 곱과 외항의 곱은 같으므로

삼각형 ABC와 삼각형 CBH가 닮음이므로

내항의 곱과 외항의 곱은 같으므로

②에 ①을 더하면

d+e는 c와 같으므로

피타고라스의 정리가 성립함을 알 수 있습니다.
-2. 직각삼각형의 닮음을 이용한 증명(2)


세 직각삼각형은 AA닮음이므로 a:b:c라는 닮음비를 가지게 됩니다.

이때, 세 삼각형의 넓이의 비는

삼각형 ABC의 넓이는 다른 두 삼각형 넓이의 합과 같으므로

피타고라스의 정리가 성립함을 알 수 있습니다.
-3. 가필드의 증명

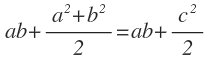
사다리꼴 ADCE의 넓이는

삼각형 ABC, 삼각형 DEB, 삼각형 CBE 넓이의 합은

사다리꼴 ADCE의 넓이는 삼각형 ABC, 삼각형 DEB, 삼각형 CBE 넓이의 합과 같으므로

정리하면

피타고라스의 정리가 성립함을 알 수 있습니다.
(1)에서 다 올리기엔 내용이 너무 방대하므로 다음 포스팅인 '피타고라스의 정리(Pythagorean theorem)의 여러 가지 증명법(2)'에서는 오늘 소개해드린 방법 이외에도 다양한 증명법을 소개해드리겠습니다.
오늘 강의는 여기까지입니다. 공부하면서 궁금한 점이 생겼다면 꼭 댓글로 질문해주시고 도움이 되셨다면 공감이랑 구독 버튼 꾹 눌러주세요.
'수학 > 여러가지 수학 공식 증명' 카테고리의 다른 글
| 코사인 법칙(the law of cosines) 증명법 (0) | 2019.08.04 |
|---|